【科學網】植物種子對火燒信號產生的適應機制獲揭示

圖1 不同個體水平的Boronia floribunda種子大小、發芽率及對煙水響應的差異

圖2 Anigozanthos flavidus種子萌發過程中胚的變化動態(a)完整的種子, (b)萌動前的胚, (c) 萌發前伸長的胚

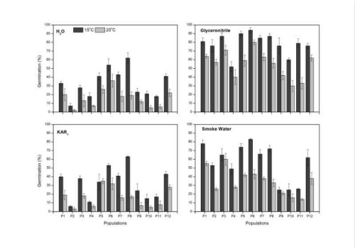
圖3 不同種群的 Anigozanthos flavidus種子萌發對溫度及煙信號 (KAR1、SP1、煙水)的響應
火燒信號對生態系統的影響引起了科學家的高度關注,特別是火燒發生的生態系統中,火燒信號通過對種子萌發的調控實現植被更新與恢復。植物種子對火燒信號產生的適應機制是什么樣的,是揭示植物在長期進化過程中保持繁衍能力的關鍵科學問題,但目前國際研究較薄弱。為此,中科院東北地理與農業生態研究所研究員馬紅媛與澳大利亞和美國多家單位的專家合作開展了系列研究,揭示了植物種子對火燒信號產生的適應機制。相關研究成果發表于International Journal of Wildland Fire、Plant and Soil、AoB Plants等。
火是自然界周期性天然干擾因子,是塑造地表植被的重要調控因子,對草地、森林、濕地等生態系統結構和功能維持具有重要意義。近年來,由于受氣溫升高、極端干旱等全球變化的影響,自然野火發生頻率和強度呈現增加趨勢。
“火燒信號,包括植物燃燒產生的熱激、氣體煙揮發性有機物、火后降雨的煙水溶液等,都會對生態系統產生重要影響。” 馬紅媛向《中國科學報》介紹,其中植物燃燒產生的煙中的丁烯酸內酯(Karrikins,簡寫KARs,包括KAR1、KAR2、KAR3和KAR4) 和甘油腈(Glyceronitrile,簡寫SP1)是目前發現的影響植物種子休眠和萌發的主要化學物質。
近年來,馬紅媛與澳大利亞多家單位的專家合作,對澳大利亞不同休眠類型植物Boronia floribunda(物理休眠)和Anigozanthos flavidus(形態生理休眠)的種子開展了系統研究,深入剖析了種子在個體和種群水平上,KAR1、SP1、煙水、熱激及其互作等對種子休眠和萌發、胚生長動態等的影響。研究表明,Boronia floribunda種子在個體水平上對煙水的濃度存在顯著差異,保證了部分種子能夠在適宜的環境下快速萌發;而部分種子則保持休眠狀態并形成土壤種子庫,這種趨同進化保證了該物種在火燒生態系統中的保存和更新(圖1)。同時,通過對比12個種群的種子萌發特性(圖2),首次報道了Anigozanthos flavidus種子休眠程度存在的種群水平顯著差異,揭示了深度和淺度休眠差異的種子對不同煙信號及其互作的顯著差異性響應特征(圖3),總結了該物種適應火燒及多變復雜生境的重要繁殖策略。
相關研究得到中國科學院王寬誠教育基金會“優秀女科學家專項”、國家自然科學基金等項目聯合資助。
相關論文信息:https://doi.org/10.1071/WF19195
https://doi.org/10.1093/aobpla/ply042
https://doi.org/10.1007/s11104-018-3641-6
附件下載:
吉公網安備22017302000214號