東北地理所在草原不同演替階段優勢種對水氮添加的響應機理方面取得進展
水分和氮素是植物生長必需的資源,近年來氣候變化和人類活動造成水分和氮素有效性在時空尺度上的重新配置,進而影響陸地生態系統的生產力和群落組成。內蒙古草原是水分和氮素限制的地區,對水分和氮素有效性的變化尤其敏感。在內蒙古草原,長期過度放牧導致土壤水分和氮素有效性降低,同時草地發生不同程度的退化及群落組成的改變,很多草場由大針茅(Stipa grandis)和羊草(Leymus chinensis)為優勢的群落退化為糙隱子草(Cleistogenes squarrosa)為優勢的群落。目前,不同演替階段優勢種對水氮添加的響應是否有差異,重度退化草場優勢植物是否具有更高的水分和氮素利用效率并不清楚。
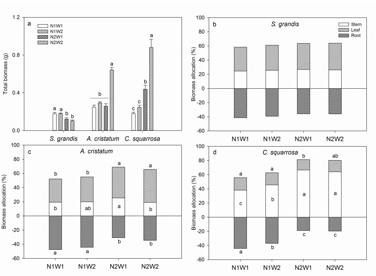
為回答這一科學問題,東北地理所草地農牧業學科組以同為多年生叢生型禾草的不同演替階段優勢種大針茅、冰草(Agropyron cristatum)和糙隱子草為對象,研究它們幼苗期對施氮處理(0.53和16.25 gm-2y-1 N)、水分處理(田間持水量的50%和70%)及水氮交互作用的響應及其生理生態機理。研究結果表明,非退化草場優勢種大針茅對水氮添加不敏感,生物量分配、水分和氮素利用效率在不同處理下保持相對穩定。而重度退化草場優勢種糙隱子草對水氮添加積極響應,高水和高氮顯著增加其各部分器官的生物量、總生物量及莖的生物量分配(圖1)。糙隱子草在高水高氮條件下的水分利用效率最高,在低水低氮條件下的氮素利用效率最高(圖2)。中度退化草場的優勢種冰草的響應介于二者之間。不同物種對水氮添加響應的策略差異能夠反映它們在不同退化程度草原的分布規律。全球變化模型預測未來內蒙古草原地區降雨和氮沉降都將增加,由我們的結果可以推測,水分和氮素有效性增加有利于內蒙古草原退化的恢復,然而這種變化對優勢種大針茅不利,其在內蒙古草原的優勢度很可能降低。
本研究結果發表在國際期刊Science of the Total Environment上,由東北地理所張紅香副研究員(第一作者)和東北師范大學高英志教授(通信作者)等合作完成。研究得到了國家重點基礎研究發展計劃(973計劃)和國家自然科學基金的資助。
論文信息:
Zhang H, Gao Y, Tasisa BY, Baskin JM, Baskin CC, Lü X, Zhou D. (2019) Divergent responses to water and nitrogen addition of three perennial bunchgrass species from variously degraded typical steppe in Inner Mongolia. Science of the Total Environment, 647: 1344-1350.

圖1 三個物種總生物量(a)和莖、葉、根生物量分配(%,b-d)對水氮添加的響應。N1W1,低氮低水;N1W2,低氮高水;N2W1,高氮低水;N2W2,高氮高水。

圖2 大針茅、冰草和糙隱子草在不同水氮條件下的水分利用效率(a)和氮素利用效率(b)。
附件下載:
吉公網安備22017302000214號