東北地理所在基于水量-效-質-碳-糧-生態多維耦合的水土資源空間優化配置模型研發與應用方面取得重要進展
在水資源剛性約束條件下,如何綜合考慮多個目標實現水土資源優化配置仍是有待解決的國際前沿問題??紤]糧食安全和生態安全的水土資源優化配置涉及到水文、生態、農業、地理、經濟等多個學科領域,同時考慮到了水資源和土地資源之間存在相互匹配與均衡的關系,任何一種資源的短缺都會限制另一種資源的利用,從而降低水土資源的綜合利用效率。同時,在國家“碳達峰”和“碳中和”戰略背景下,農田、林地、草地和濕地均是重要的固碳生態系統,對實現“雙碳”目標具有重要作用。傳統研究大多側重水量和土地利用的耦合,隨著研究逐步深入,部分研究開始關注多維因素綜合優化,但在水土資源優化模型求解和土地資源空間配置方面耦合優化方面仍面臨挑戰。
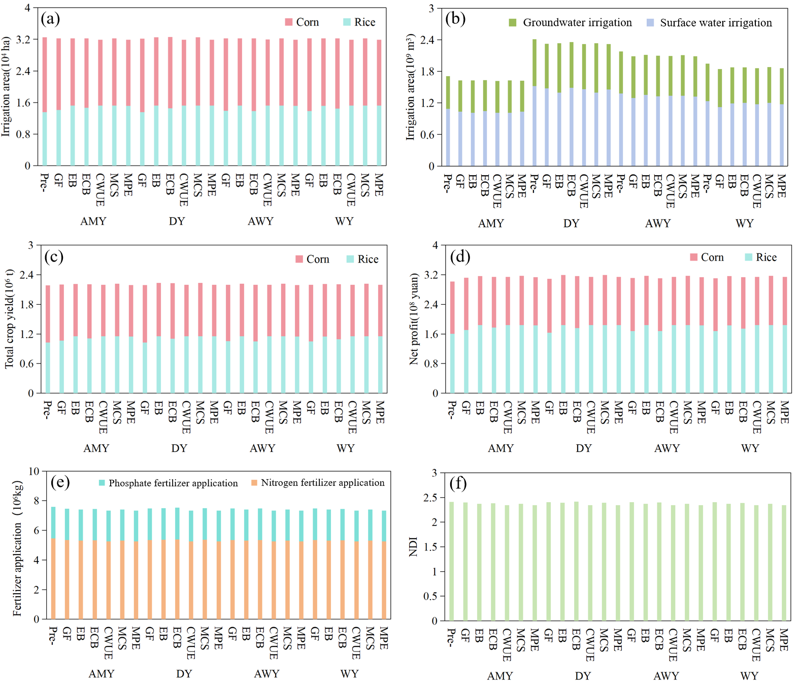
因此,中科院東北地理所研究人員研發了“基于水量-效-質-碳-糧-生態多維耦合的水土資源空間優化配置模型(COM-WL)”,將水量、水質、效率、碳循環、生態連通性及糧食生產等多目標納入統一框架,結合改進的遺傳算法PAEA-NSGAⅢ與開發的空間布局優化工具GridLOpt,通過動態權重調整策略和精英保留機制,實現了多維目標的協同優化。PAEA-NSGAⅢ算法在傳統NSGA-III基礎上引入漸進式適應度函數,可根據不同水文年情景優先優化特定目標,同時兼顧其他約束條件;GridLOpt模型采用分層網格劃分與局部優化技術,提升了生態連通性并降低了土地利用轉換成本。研究以吉林西部大安灌區為典型案例,設計了干旱年、平水年、豐水年及實測年共24種情景進行驗證。優化結果表明:(1)基于水量、水質、效率、碳、糧食、生態等多維耦合的水土資源空間優化配置模型可實現農業水土資源均衡配置,既可保障經濟效益和糧食安全,又可增加碳匯和水資源利用效率,減少了地下水利用和污染物排放,為應對不同水文條件下的挑戰提供了建議。(2)優化后,大安灌區水稻灌溉面積可增加0.04%-6.08%,玉米面積可減少6.20%-0.02%,總灌溉面積保持穩定;地表水占比達64%,作物水分利用效率提升2.05%-4.08%;農業污染物排放減少1.95%-4.52%,碳匯量增加0.01%-0.59%,生態連通性提高11.6%-20.3%,與目標空間布局匹配度達99.8%。該成果為高資源依賴型灌區的水土資源管理提供了科學依據,對協調空間格局,糧食安全、生態保護與低碳發展具有重要意義。
該研究發表在農業水資源領域中科院1區期刊《Agricultural water management》上,由東北地理所聯合培養碩士王迎彬(第一作者)、王海慶(共同一作)、齊鵬副研究員(通訊作者)等共同完成。研究得到吉林省優秀青年科技人才項目(應用技術類)(20230508099RC)、國家自然科學基金面上項目(42371037)和吉林省重大科技項目(20230303007SF)共同資助。

圖1 基于水量-效-質-碳-糧-生態多維耦合的水土資源空間優化配置模型框架

圖2 灌區水土資源空間優化概念圖


圖3 大安灌區的優化配置結果 (a–d)年灌溉面積、灌溉水源、作物總產量和每種作物的凈利潤;(e)氮磷肥施用量;(f)NDI污染指數(側重地下水足跡(GF),側重經濟效益(EB),側重生態效益(ECB),側重作物用水效率(CWUE),側重碳固存(MCS),側重污染物排放(MPE))。

圖4 土地利用空間優化結果
論文信息及鏈接如下:
Yingbin Wang,Haiqing Wang,Jiaxin Sun,Peng Qi*,Wenguang Zhang,and Guangxin Zhang. Spatially optimized allocation of water and land resources based on multi-dimensional coupling of water quantity,quality,efficiency,carbon,food,and ecology. Agricultural Water Management,2025,309 :109340.https://doi.org/10.1016/j.agwat.2025.109340
其他相關論文:
Jiaxin Sun,Yanli Yang,Peng Qi*,Guangxin Zhang and Yao Wu (2024:). Development and Application of a New Water-Carbon-Economy Coupling Model (WCECM) for Optimal Allocation of Agricultural Water and Land Resources. Agricultural Water Management,291,108608. https://doi.org/https://doi.org/10.1016/j.agwat.2023.108608.
附件下載:
吉公網安備22017302000214號